头像
更新时间:2026.04.03
总访问量:10

倪珺

| 博士 高校副教授 博士生导师

单位:

职务: 教授

研究方向:

办公地址: 化工1号楼314室

办公电话:

电子邮箱: Junni@zjut.edu.cn

手机访问
  • 个人简介

     倪珺,教授,博士生导师。2008年博士毕业于英国贝尔法斯特女王大学化学与化学工程系;之后分别于2009-2010年在法国国家科学研究中心、以及2010-2012年在新加坡国立大学从事博士后研究;2012年至今在浙江工业大学任教。目前研究方向为可再生资源催化转化与循环利用。已主持4项国家自然科学基金项目、2项省部级项目被聘为浙江省石油学会青年工作委员会副主任、《Carbon and Hydrogen青年编委、《石油学报(石油加工)》首届和第2届青年编委,担任国家自然科学基金项目、浙江省自然科学基金项目、重庆市自然科学基金项目、河北省科学技术奖励、教育部学位与研究生教育发展中心等的评审专家,入选浙江省钱江人才计划D类、浙江省科技专家。

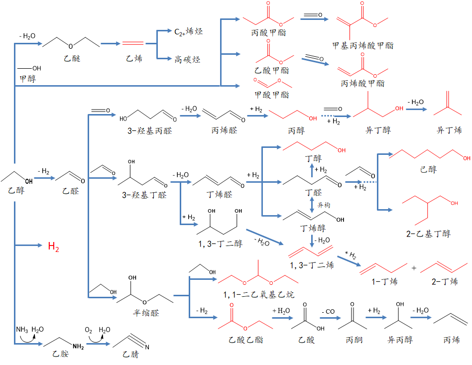
     我们课题组长期专注于醇类原料(特别是甲醇与乙醇)的高效催化转化及其高附加值利用,已成功实现多种高附加值化学品的高效合成,包括高碳醇(如正丁醇、正己醇、异丁醇等)、高碳烯烃(如1,3-丁二烯、异丁烯、异戊二烯等)以及甲酯类化合物(如甲酸甲酯、丙烯酸甲酯、甲基丙烯酸甲酯等)。相关研究项目的产业化将有望全面替代传统依赖化石资源的三苯、三烯工艺路线,为实现人类社会的可持续发展提供重要支撑。如果有同学对我们的研究方向感兴趣,欢迎与我联系!


          


  • 教学与课程

    《化学工艺学》(获浙江工业大学“优课优酬”奖励三

    《催化剂工程

    《专业导论(留学生)》

  • 科研项目

    [1] 基于非晶氧化物缺陷调控的乙醇低温定向直接合成丁二烯的新催化体系国家自然科学基金面上项目

    [2] 基于二维催化剂电子密度调控的乙醇氢转移选择性加氢餐厨油脂的机理及应用(国家自然科学基金面上项目

    [3] 新型节点功能化金属有机框架催化剂高效定向催化乙醇转化的研究(国家自然科学基金面上项目

    [4] 溢流氧对甲烷重整反应中镍基催化剂的消碳作用(国家自然科学基金青年基金项目

    [5] 新型二维复合材料的制备及其催化合成生物质燃料的研究浙江省自然科学基金一般项目

    [6] 绿藻直接连续化制备生物柴油的研究(浙江省钱江人才计划D类)

    [7] 甘油三酯原位加氢制备第二代生物柴油的研究(浙江省教育厅项目)

  • 科研成果

    发表论文:

    2025

    [1]     Xuemei Liao*, Xiaoli Wei, Yunye Wang, Huanqi Gou, Yingchun Yang, Xiaoxiao Luo, Shuang Wang, Xiaopeng Li, Jun Ni*, Cuong Pham-Huu. An effective way to produce fatty alcohol through coupling fatty acid with CO2 hydrogenation over CuZnZrOx/C-N catalyst. Journal of Catalysis, 2025, 452: 116455.

    [2]     棘云飞, 王天姿, 陈欣辉, 张建林, 倪珺*. 无氢条件下间戊二烯的异构化反应. 热固性树脂, 2025, 40(3): 8-11.

    [3]     Peng Wang, Shaowen Hou, Huanqi Gou, Fenghao Guo, Mengchuang Wang, Tianzi Wang, Jinde Liu, Jiangke Tao, Hui Pan, Jun Ni*. Amorphous ZnO as an active catalyst for hydrogen production from ethanol dehydrogenation. International Journal of Hydrogen Energy, 2025, 135: 104-110.

    2024

    [1]     Yali Zhao, Ziru Wang, Jun Ni, Peilei He*. Self-Assembly of Polyoxometalate Clusters into Nanostructures with Different Dimensions. European Journal of Inorganic Chemistry, 2024, 27(21): e202400184.

    [2]     王栋, 何耀辉, 周丹枫, 关伟鑫, 何亚军, 冯启龙, 王鹏, 侯少文, 陈欣辉, 王奕星, 苟焕其, 郭锋浩, 王梦闯, 王天姿, 刘金德, 倪珺*. 配体缺陷Pd@UiO-66催化乙醇合成正丁醇. 石油学报(石油加工), 2024, 40(5): 1254-1263.

    [3]     薛冰, 关伟鑫, 王鹏, 侯少文, 陈欣辉, 王奕星, 苟焕其, 郭锋浩, 王梦闯, 王天姿, 刘金德, 郑洲, 柴寿根, 陈家锐, 张建林, 棘云飞, 倪珺*. 氮改性ZnO-ZrO2/SBA-15催化剂的酸碱性与其催化乙醇合成1,3-丁二烯反应性能的关系. 化学学报, 2024, 82(5): 493-502.

    [4]     Yaohui He, Huanqi Gou, Danfeng Zhou, Peng Wang, Shaowen Hou, Xinhui Chen, Yixing Wang, Fenghao Guo, Mengchuan Wang, Chi Wang, Jinshu Tian, Xiaonian Li, Jun Ni*. Functionalized ligands mediated microenvironment of Pd@UiO-66-X catalysts for ethanol upgrading to n-butanol, Fuel, 2024, 368: 131477.

    [5]     Peng Wang, Shaowen Hou, Pengxiang Tu, Bing Xue, Weixin Guan, Dong Wang, Danfeng Zhou, Yajun He, Xinhui Chen, Yixing Wang, Kegong Fang, Xiaonian Li, Jun Ni*. Coordinating the interaction of ZnO and ZrO2 for an efficient ethanol-to-butadiene process, Catalysis Science & Technology, 2024, 14(7): 1822-1836.

    2023

    [1]     Jinxian Feng, Junyan Li, Lulu Qiao, Dong Liu, Pengfei Zhou, Jun Ni, Hui Pan*. Reconstructed anti-poisoning surface for enhanced electrochemical CO2 reduction on Cu-incorporated ZnO. Applied Catalysis B: Environmental, 2023, 330, 122665.

    [2]     Jinxian Feng, Xiongwei Zhong, Mingpeng Chen, Pengfei Zhou, Lulu Qiao, Haoyun Bai, Dong Liu, Di Liu, Yu-Yun Chen, Weng Fai Ip, Shi Chen, Jun Ni, Detao Liu, Hui Pan*. Iron-incorporated defective graphite by in-situ electrochemical oxidization for oxygen evolution reaction. Journal of Power Sources, 2023, 561, 232700.

    [3]     Jinxian Feng, Lulu Qiao, Pengfei Zhou, Haoyun Bai, Chunfa Liu, Chon Chio Leong, Yuyun Chen, Weng Fai Ip, Jun Ni, Hui Pan*. Nanocrystalline CoOx glass for highly-efficient alkaline hydrogen evolution reaction. Journal of Materials Chemistry A, 2023, 11, 316-329.

    2022

    [1]     Jinxian Feng, Mingpeng Chen, Pengfei Zhou, Di Liu, Yu-Yun Chen, Bingchen He, Haoyun Bai, Dong Liu, Weng Fai Ip, Shi Chen, Detao Liu, Wenlin Feng, Jun Ni, Hui Pan*. Reconstruction optimization of distorted FeOOH/Ni hydroxide for enhanced oxygen evolution reaction. Materials Today Energy, 2022, 27, 101005.

    2021

    [1]     Jian Zhou, Yaohui He, Bing Xue, Yunhui Cheng, Danfeng Zhou, Dong Wang, Yajun He, Weixin Guan, Kegong Fang, Lijun Zhang, Jun Ni*, Xiaonian Li. Benefits of active site proximity in Cu@UiO-66 catalysts for efficient upgrading of ethanol to n-butanol. Sustainable Energy Fuels, 2021, 5, 4628-4636.

    [2]     Jinxian Feng, Jun Ni, Hui Pan*. Synergistic carbon and hydrogen reactions in the electrochemical reduction of CO2 to liquid fuels. Journal of Materials Chemistry A, 2021, 9: 10546-10561.

    2020

    [1]     Jian Zhou, Yuqin Tong, Yaohui He, Pengxiang Tu, Bing Xue, Yunhui Cheng, Jie Cen, Yifan Zheng, Jun Ni*, Xiaonian Li. Role of Lewis acids of MIL-101 (Cr) in the upgrading of ethanol to n-butanol. Frontier in Chemical Engineering, 2020, 2: 586142.

    [2]     Yuqin Tong, Jian Zhou, Yaohui He, Pengxiang Tu, Bing Xue, Yunhui Cheng, Jie Cen, Yifan Zheng, Jun Ni*, Xiaonian Li. Structure-activity Relationship of Cu Species in the Ethanol Upgrading to n-Butanol. ChemistrySelect, 2020, 5(26): 7714-7719.

    [3]     Pengxiang Tu, Bin Xue, Yuqin Tong, Jian Zhou, Yaohui He, Junhui Cheng, Jun Ni*, Xiaonian Li. Effect of Doping Metal Oxide in ZnO/SBA-15 on Its Acid-Base Properties and Performance in Ethanol-to-Butadiene Process. ChemistrySelect, 2020, 5(24): 7258-7266.

    [4]     Yuxue Yue, Bolin Wang, Saisai Wang, Chunxiao Jin, Jinyue Lu, Zheng Fang, Shujuan Shao, Zhiyan Pan, Jun Ni, Jia Zhao*, Xiaonian Li*. Boron-doped carbon nanodots dispersed on graphitic carbon as high-performance catalysts for acetylene hydrochlorination. Chemical Communications, 2020, 56, 5174-5177.

    [5]     Tongdong Shen, Wentao Su, Qiangqiang Yang, Jun Ni, Shaoping Tong*. Synergetic mechanism for basic and acid sites of MgMxOy (M = Fe, Mn) double oxides in catalytic ozonation of p-hydroxybenzoic acid and acetic acid. Applied Catalysis B: Environmental, 2020, 119346.

    2019

    [1]     Aiqing Ma, Huaqing Chen, Yanhong Cui, Zhenyu Luo, Ruijing Liang, Zhihao Wu, Ze Chen, Ting Yin, Jun Ni, Mingbin Zheng*, Lintao Cai*. Metalloporphyrin Complex-Based Nanosonosensitizers for Deep-Tissue Tumor Theranostics by Noninvasive Sonodynamic Therapy. Small, 2019, 15(5): 1804028.

    [2]     Fushan Chen, Tao Yang, Songlin Zhao, Taotao Jiang, Lu Yu, Houfeng Xiong, Chuankun Guo, Yufang Rao, Yan Liu, Liu Liu, Jian Zhou, Pengxiang Tu, Jun Ni, Qunfeng Zhang*, Xiaonian Li. Highly selective oxidation of amines to imines by Mn2O3 catalyst under eco-friendly conditions. Chinese Chemical Letters, 2019, 30(12): 2282-2286.

    [3]     Fushan Chen, Songlin Zhao, Tao Yang, Taotao Jiang, Jun Ni, Houfeng Xiong, Qunfeng Zhang*, Xiaonian Li. Controllable synthesis of novel nanoporous manganese oxide catalysts for the direct synthesis of imines from alcohols and amines. Chinese Journal of Chemical Engineering, 2019, 27(10): 2438-2446.

    [4]     Fushan Chen, Songlin Zhao, Tao Yang, Taotao Jiang, Jun Ni, Qunfeng Zhang*, Xiaonian Li*. Highly Efficient Oxidative Dehydrogenation Aromatization of 1,2,3,4-Tetrahydroquinoline by Cu2-MnOx Catalyst. Acta Physico - Chimica Sinica, 2019, 35(7): 775-786.

    [5]     Zhe Liang, Dahao Jiang, Geqian Fang, Wenhua Leng, Pengxiang Tu, Yuqin Tong, Liu Liu, Jun Ni*, Xiaonian Li*. Catalytic Enhancement of Aldol Condensation by Oxygen Vacancy on CeO2 Catalysts. ChemistrySelect, 2019, 4(14), 4364-4370.

    [6]     Jun Ni*, Wenhua Leng, Jun Mao, Jianguo Wang, Jianyi Lin, Dahao Jiang*, Xiaonian Li*. Tuning electron density of metal nickel by support defects in Ni/ZrO2 for selective hydrogenation of fatty acids to alkanes and alcohols. Applied Catalysis B: Environmental, 2019, 253, 170-178.

    [7]     Qunfeng Zhang*, Kang Li, Yizhi Xiang*, Yuan Zhou, QingtaoWang, Lingling Guo, Lei Ma, Xiaoliang Xu, Chunshan Lu, Feng Feng, Jinhui Lv, Jun Ni, Xiaonian Li*. Sulfur-doped porous carbon supported palladium catalyst for high selective o-chloro-nitrobenzene hydrogenation. Applied Catalysis A: General, 2019, 581, 74-81.

    2018

    [1]     Dahao Jiang, Geqian Fang, Yuqin Tong, Xianyuan Wu, Yifan Wang, Dongsen Hong, Wenhua Leng, Zhe Liang, Pengxiang Tu, Liu Liu, Kaiyue Xu, Jun Ni*, Xiaonian Li*. Multifunctional Pd@UiO-66 Catalysts for Continuous Catalytic Upgrading of Ethanol to nButanol. ACS Catalysis, 2018, 8, 11973−11978.

    [2]     Xianyuan Wu, Geqian Fang, Yuqin Tong, Dahao Jiang*, Zhe Liang, Wenhua Leng, Liu Liu, Pengxiang Tu, Hongjing Wang, Jun Ni*, Xiaonian Li. Catalytic upgrading of ethanol to n-butanol: Progress in catalyst development. ChemSusChem, 2018, 11, 71-85.

    2017

    [1]     Xianyuan Wu, Zheng Fang, Hui Pan, Yifan Zheng, Dahao Jiang, Jun Ni*, Xiaonian Li*. Active oxygen species on Mg–La mixed oxides: the effect of Mg and La oxide interactions. Catalysis Science & Technology, 2017, 7, 797-801.(封面论文)

    [2]     Xianyuan Wu, Geqian Fang, Zhe Liang, Wenhua Leng, Kaiyue, Xu, Dahao Jiang*, Jun Ni*. Catalytic upgrading of ethanol to n-butanol over M-CeO2/AC (M = Cu, Fe, Co, Ni and Pd) catalysts. Catalysis Communications, 2017, 100, 15-18.

    [3]     Hangjia Shen, Xianyuan Wu, Dahao Jiang, Xiaonian Li, Jun Ni*. Identification of active sites for hydrogenation over Ru/SBA-15 using in situ Fourier-transform infrared spectroscopy. Chinese Journal of Catalysis, 2017, 38, 1597-1602.

    [4]     Jia Zhao, Yi Yu, Xiaolong Xu, Shuxia Di, Bolin Wang, Hao Xu, Jun Ni, LingLing Guo, Zhiyan Pan, Xiaonian Li*. Stabilizing Au(III) in supported-ionic-liquid-phase (SILP) catalyst using CuCl2 via a redox mechanism. Applied Catalysis B: Environmental, 2017, 206, 175-183.

    [5]     Jun Mao, Dahao Jiang*, Zheng Fang, XianyuanWu, Jun Ni*, Xiaonian Li. Efficient hydrothermal hydrodeoxygenation of triglycerides with in situ generated hydrogen for production of diesel-like hydrocarbons. Catalysis Communications, 2017, 90, 47-50.

    2016

    [1]     Dahao Jiang, Xianyuan Wu, Jun Mao, Jun Ni*, Xiaonian Li*. Continuous catalytic upgrading of ethanol to n-butanol over Cu–CeO2/AC catalysts. Chemical Communications, 2016, 52, 13749-13752.(封面论文)

    [2]     Jun Ni, Jia Zhao, Luwei Chen*, Jianyi Lin, Sibudjing Kawi*. Lewis Acid Sites Stabilized Nickel Catalysts for Dry (CO2) Reforming of Methane. ChemCatChem 2016, 8, 3732-3739.(封面论文)

    2015

    [1]     Sibudjing Kawi*, Yasotha Kathiraser, Jun Ni, Usman Oemar, Ziwei Li, Eng Toon Saw. Progress in synthesis of highly active and stable nickel-based catalysts for carbon dioxide reforming of methane, ChemSusChem, 2015, 8(21): 3556-3575.

    2014

    [1]     Hangjia Shen, Haodong Tang*, Haiyu Yan, Wenfeng Han, Ying Li, Jun Ni*. Geometric effect of Ru/HSAG@mSiO2: a catalyst for selective hydrogenation of cinnamaldehyde. RSC Advances, 2014, 4, 30180-30185.

    [2]     Jinhui Xu, Jia Zhao, Jiangtao Xu, Tongtong Zhang, Xiaonian Li*, Xiaoxia Di, Jun Ni, Jianguo Wang*, Jie Cen. Influence of Surface Chemistry of Activated Carbon on the Activity of Gold/Activated Carbon Catalyst in Acetylene Hydrochlorination. Industrial & Engineering Chemistry Research. 2014, 53, 37, 14272–14281.

    [3]     Guojun Lan, Haodong Tang, Huazhang Liu, Jun Ni, Ying Li*. Effect of Sulfuric Acid on Textural Properties and Catalytic Performance of Ruthenium-Containing Ordered Mesoporous Carbon Prepared via a Direct RuCl3/SBA-15 Hard Templated Method. Journal of Nanoscience and Nanotechnology, 2014, 14, 7131-7138.

    2013

    [1]     Wei Xu, Jun Ni, Qunfeng Zhang, Feng Feng, Yizhi Xiang, Xiaonian Li*. Tailoring supported palladium sulfide catalysts through H2-assisted sulfidation with H2S. Journal of Materials Chemistry A, 2013, 1, 12811-12817.

    [2]     Jun Ni, Luwei Chen, Jianyi Lin, Martin Karl Schreyer, Zhan Wang, Sibudjing Kawi*. High performance of Mg-La mixed oxides supported Ni catalysts for dry reforming of methane: The effect of crystal structure. International Journal of Hydrogen Energy, 2013, 38, 13631-13642.

    [3]     Like Ouyang, Guo-Jin Da, Jun Ni, Jing Xu, Yi-Fan Han*. Heterogeneous Catalysis by Gold-based Bimetallic Catalysts. Recent Patents on Catalysis, 2013, 2, 2-46.

    2012年前

    [1]     Jun Ni, Luwei Chen, Jianyi Lin, Sibudjing Kawi*. Carbon deposition on borated alumina supported nano-sized Ni catalysts for dry reforming of CH4. Nano Energy, 2012, 1, 674-686.

    [2]     Jun Ni, Frederic C. Meunier*, Saul Robles-Manuel, Joel Barrault, Sabine Valange. Characterisation of surface acidity of carbonated samples by IR-sensitive molecular probes: advantage of using tert-butyl cyanide. The Journal of Physical Chemistry C, 2011, 115 (50): 24931-24936.

    [3]     Jun Ni D. Rooney, F.C. Meunier*. CsF and alumina: A mixed homogeneous–heterogeneous catalytic system for the transesterification of sunflower oil with methanol. Applied Catalysis B: Environmental, 2010, 97(1-2): 269-275.

    [4]     Jiahui Xu, Connie M.Y.Yeung, Jun Ni, Frederic Meunier, Nadia Acerbi, Martin Fowles, Shik Chi Tsang*. Methane steam reforming for hydrogen production using low water-ratios without carbon formation over ceria coated Ni catalysts. Applied Catalysis A: General, 2008, 345(2): 119-127.

    [5]     Jun Ni, F.C. Meunier*. Batch and fixed-bed recirculating reactors for the esterification of palmitic acid in sunflower oil using solid acid catalysts. Applied Catalysis A: General, 2007, 333 (1): 122-130.

     

     

     

    发明专利:

    [1]      倪珺, 郭锋浩, 一种乙醇脱氢耦合动植物油脂加氢合成脂肪醇的方法, 2025-04-17, 中国, CN202510481687.3.

    [2]      吕亮,杜王龙,倪珺,贲海婕,曹海波,方兵华, 苯并噻唑基COFs增强聚合物电解质膜及其制备方法与在全固态锂电池中的应用, 2025-01-17, 中国, CN202510074109.8.

    [3]      倪珺, 朱旭江, 王燕刚, 一种负载型甲醇水蒸气重整制氢催化剂及其制备方法与应用, 2025-01-13, 中国, CN202510047530.X.

    [4]      廖雪梅, 倪珺, 王云烨, 杨迎春, 李小鹏, 杨秀山, 肖鑫, 田云龙, 未小莉, 罗晓晓, 一种脂肪醇的一锅法合成工艺, 2024-12-20, 中国, CN202411893216.5.

    [5]      倪珺, 王奕星, 一种降低苯酚/双酚A产品色度的方法, 2024-11-22, 中国, ZL202310748689.5.

    [6]      倪珺, 刘金德, 郑洲, 陈家锐, 傅桂萍, 柴寿根, 一种N,N-二异丙基乙胺的连续合成方法, 2024-10-22, 中国, CN202411475351.8.

    [7]      倪珺, 王鹏, 侯少文, 郑洲, 一种高温稳定的非晶氧化锌材料及其制备方法与应用, 2024-10-01, 中国, ZL202311043967.3.

    [8]      倪珺, 关伟鑫, 薛冰, 王栋, 一种氮掺杂负载型氧化物催化剂及其制备方法与应用, 2024-07-19, 中国, ZL202210083312.8.

    [9]      倪珺, 王梦闯, 一种配体功能化的MOFs限域金属催化剂及其制备方法与应用, 2024-03-29, 中国, CN202410375824.0.

    [10]   倪珺, 郭锋浩, 郑洲, 陈家锐, 傅桂萍, 一种N,N-二异丙基乙胺的合成方法, 2024-01-03, 中国, CN202410006222.8.

    [11]   倪珺, 陈欣辉, 张建林, 棘云飞, 一种间戊二烯顺反异构催化剂及其制备方法与应用, 2023-09-21, 中国, ZL202311222866.2.

    [12]   倪珺, 何亚军, 陈欣辉, 负载型复合金属-氧化物催化剂及其制备与在甲醇和乙醇直接合成高碳异构烯烃中的应用, 2023-08-22, 中国, CN202311056391.4.

    [13]   倪珺, 王奕星, 郑洲, 一种甲醇直接氧化合成甲酸钙的方法, 2023-08-18, 中国, CN202311041997.0.

    [14]   倪珺, 成筠晖, 周健, 何耀辉, 一种MOFs限域金属催化剂及其制备方法与应用, 2021-08-31, 中国, CN202111017785.X.

    [15]   江大好, 方葛钱, 童雨琴, 王逸凡, 洪东森, 倪珺, 李小年, 一种金属有机框架材料封装的纳米贵金属催化剂及其制备方法和应用, 2020-11-13, 中国, ZL201810305090.3.

    [16]   江大好, 吴先元, 倪珺, 李小年, 活性炭负载型铜-金属氧化物催化剂及其制备方法和应用, 2018-08-21, 中国, ZL201610399455.4.

    [17]   倪珺, 江大好, 毛军, 吴先元, 李小年, 一种无氢转化高含水量油脂制备航空燃料的方法, 2017-11-17, 中国, ZL201610396049.2.


  • 社会服务

    浙江省石油学会青年工作委员会副主任Carbon and Hydrogen青年编委《石油学报(石油加工)》首届和第2届青年编委

链接

更新时间:2026.04.03
总访问量:10